movie_scores <- fandango |>
rename(
critics = rottentomatoes,
audience = rottentomatoes_user
)Linear models with a single predictor
Lecture 16
While you wait: Participate 📱💻
Play the game a few times and report your score: smallest absolute difference between your guess and the actual correlation, e.g., if the actual correlation was 0.8 and you guessed 0.6, your score would be 0.2. If the actual correlation was -0.4 and you guessed 0.1, your score would be 0.5.
Option 1 - Calculates your score for you: https://duke.is/corr-game-1
Option 2 - You need to calculate your own score: https://duke.is/corr-game-2
Scan the QR code or go HERE. Log in with your Duke NetID.
Correlation vs. causation
Spurious correlations

Spurious correlations

Linear regression with a single predictor
Data prep
- Rename Rotten Tomatoes columns as
criticsandaudience - Rename the dataset as
movie_scores
Data overview
movie_scores |>
select(critics, audience)# A tibble: 146 × 2
critics audience
<int> <int>
1 74 86
2 85 80
3 80 90
4 18 84
5 14 28
6 63 62
7 42 53
8 86 64
9 99 82
10 89 87
# ℹ 136 more rows
Data visualization

Data visualization: linear model

# A tibble: 2 × 5
term estimate std.error statistic p.value
<chr> <dbl> <dbl> <dbl> <dbl>
1 (Intercept) 32.3 2.34 13.8 4.03e-28
2 critics 0.519 0.0345 15.0 2.70e-31
Data visualization: linear model

# A tibble: 2 × 5
term estimate std.error statistic p.value
<chr> <dbl> <dbl> <dbl> <dbl>
1 (Intercept) 32.3 2.34 13.8 4.03e-28
2 critics 0.519 0.0345 15.0 2.70e-31
# A tibble: 1 × 1
r
<dbl>
1 0.781
Prediction
Simple Linear Regression: How R Did It
Regression model
A regression model is a function that describes the relationship between the outcome, \(Y\), and the predictor, \(X\).
\[ \begin{aligned} Y &= \color{black}{\textbf{Model}} + \text{Error} \\[8pt] &= \color{black}{\mathbf{f(X)}} + \epsilon \\[8pt] &= \color{black}{\boldsymbol{\mu_{Y|X}}} + \epsilon \end{aligned} \]
Regression model
\[ \begin{aligned} Y &= \color{#325b74}{\textbf{Model}} + \text{Error} \\[8pt] &= \color{#325b74}{\mathbf{f(X)}} + \epsilon \\[8pt] &= \color{#325b74}{\boldsymbol{\mu_{Y|X}}} + \epsilon \end{aligned} \]

Simple linear regression
Use simple linear regression to model the relationship between a quantitative outcome (\(Y\)) and a single quantitative predictor (\(X\)): \[\Large{Y = \beta_0 + \beta_1 X + \epsilon}\]
- \(\beta_1\): True slope of the relationship between \(X\) and \(Y\)
- \(\beta_0\): True intercept of the relationship between \(X\) and \(Y\)
- \(\epsilon\): Error (residual)
Simple linear regression
\[\Large{\hat{Y} = b_0 + b_1 X}\]
- \(b_1\): Estimated slope of the relationship between \(X\) and \(Y\)
- \(b_0\): Estimated intercept of the relationship between \(X\) and \(Y\)
- No error term!
Choosing values for \(b_1\) and \(b_0\)

Residuals

\[\text{residual} = \text{observed} - \text{predicted} = y - \hat{y}\]
Notation
We have \(n\) observations (generally, the number of rows in a df)
-
\(i^{th}\) observation (\(i\) from \(1\) to \(N\)):
\(y_i\) : \(i^{th}\) outcome
\(x_i\) : \(i^{th}\) explanatory variable
\(\hat{y}\) : \(i^{th}\) predicted outcome
\(e\) : \(i^{th}\) residual
Least squares line
- The residual for the \(i^{th}\) observation is
\[e_i = \text{observed} - \text{predicted} = y_i - \hat{y}_i\]
- The sum of squared residuals is
\[e^2_1 + e^2_2 + \dots + e^2_n\]
- The least squares line is the one that minimizes the sum of squared residuals
Least squares line
movies_fit <- linear_reg() |>
fit(audience ~ critics, data = movie_scores)
tidy(movies_fit)# A tibble: 2 × 5
term estimate std.error statistic p.value
<chr> <dbl> <dbl> <dbl> <dbl>
1 (Intercept) 32.3 2.34 13.8 4.03e-28
2 critics 0.519 0.0345 15.0 2.70e-31
Prediction
A new movie with a critic score of \(x = 20\) is released, and the model predicts that the audience score will be \(\hat{y}\approx 42.69\) on average:
Slope and intercept
Participate 📱💻
The slope of the model for predicting audience score from critics score is 0.519. Which of the following is the best interpretation of this value?
\[\widehat{\text{audience}} = 32.3 + 0.519 \times \text{critics}\]
- For every one point increase in the critics score, the audience score goes up by 0.519 points, on average.
- For every one point increase in the critics score, we expect the audience score to be higher by 0.519 points, on average.
- For every one point increase in the critics score, the audience score goes up by 0.519 points.
- For every one point increase in the audience score, the critics score goes up by 0.519 points, on average.
Scan the QR code or go HERE. Log in with your Duke NetID.
Participate 📱💻
The intercept of the model for predicting audience score from critics score is 32.3. Which of the following is the best interpretation of this value?
\[\widehat{\text{audience}} = 32.3 + 0.519 \times \text{critics}\]
- For movies with a critics score of 0 points, we expect the audience score to be 32.3 points, on average.
- For movies with an audience score of 0 points, we expect the critics score to be 32.3 points, on average.
- For every one point increase in the critics score, the audience score goes up by 32.3 points.
- For movies with an audience score of 0 points, we expect the critics score to be 0.519 points, on average.
Scan the QR code or go HERE. Log in with your Duke NetID.
Is the intercept meaningful?
✅ The intercept is meaningful in context of the data if
- the predictor can feasibly take values equal to or near zero or
- the predictor has values near zero in the observed data
. . .
🛑 Otherwise, it might not be meaningful!
. . .
From last time…
- It doesn’t make sense to predict the mpg of a car that weighs 0 pounds;
- It does make sense to predict the ice duration of a lake at 0 degree temp.
Properties of least squares regression
The regression line goes through the center of mass point (the coordinates corresponding to average \(X\) and average \(Y\)): \(b_0 = \bar{Y} - b_1~\bar{X}\)
Slope has the same sign as the correlation coefficient: \(b_1 = r \frac{s_Y}{s_X}\)
Sum of the residuals is zero: \(\sum_{i = 1}^n \epsilon_i = 0\)
Residuals and \(X\) values are uncorrelated
Goodness-of-fit
- Correlation is a number between -1 and 1 measuring the strength and direction of the linear association between two numerical variables (\(X\) and \(Y\));
- If you square it, you get \(R^2\) (“\(R\) squared”) or the coefficient of determination;
- This is a number between 0 and 1 measuring how well the linear model fits the data:
- \(R^2=1\) means linear fit is perfect;
- \(R^2=0\) means linear fit is perfectly wretched;
- Technically, \(R^2\) measures the fraction of the variation in the response \(Y\) explained by the model (more on this later).
Correlation and \(R^2\)

df |>
summarize(
r = cor(x, y)
)# A tibble: 1 × 1
r
<dbl>
1 -1
linear_reg() |>
fit(y ~ x, df) |>
glance() |>
select(r.squared)# A tibble: 1 × 1
r.squared
<dbl>
1 1
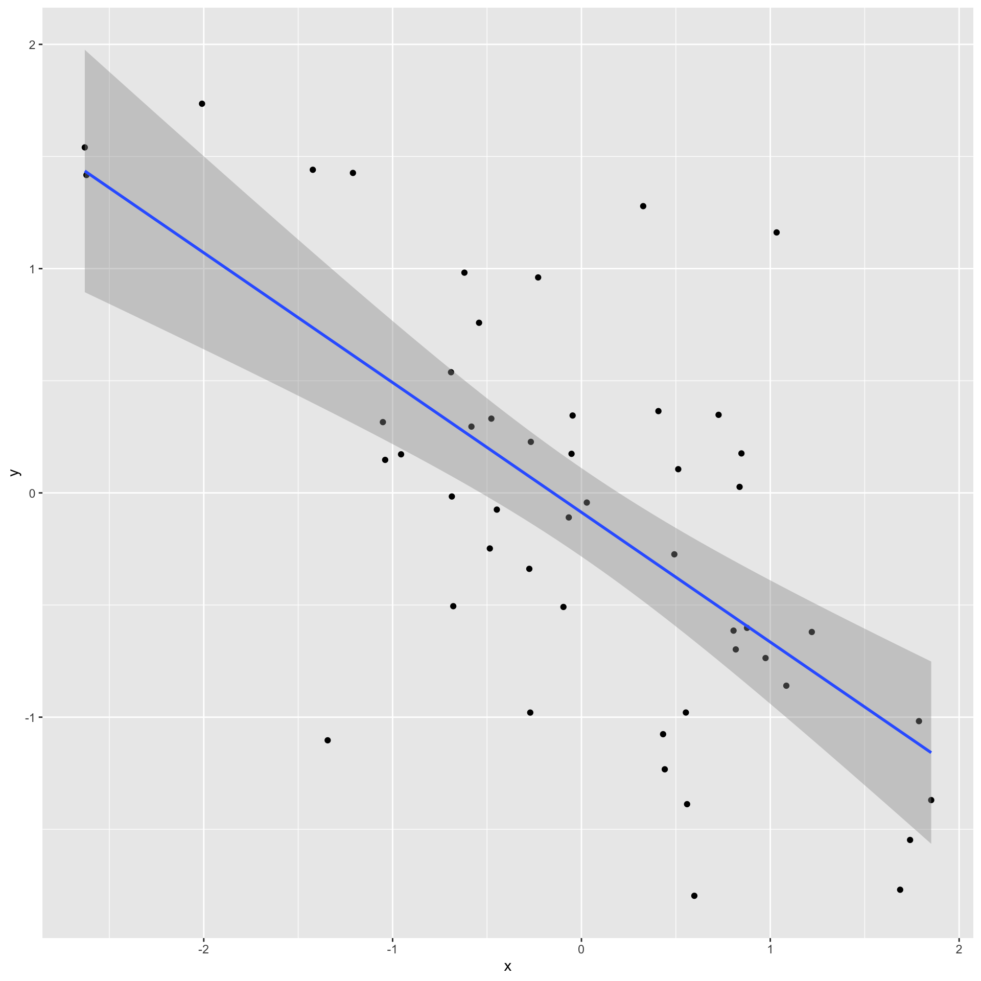
Correlation and \(R^2\)

df |>
summarize(
r = cor(x, y)
)# A tibble: 1 × 1
r
<dbl>
1 -0.935
linear_reg() |>
fit(y ~ x, df) |>
glance() |>
select(r.squared)# A tibble: 1 × 1
r.squared
<dbl>
1 0.875
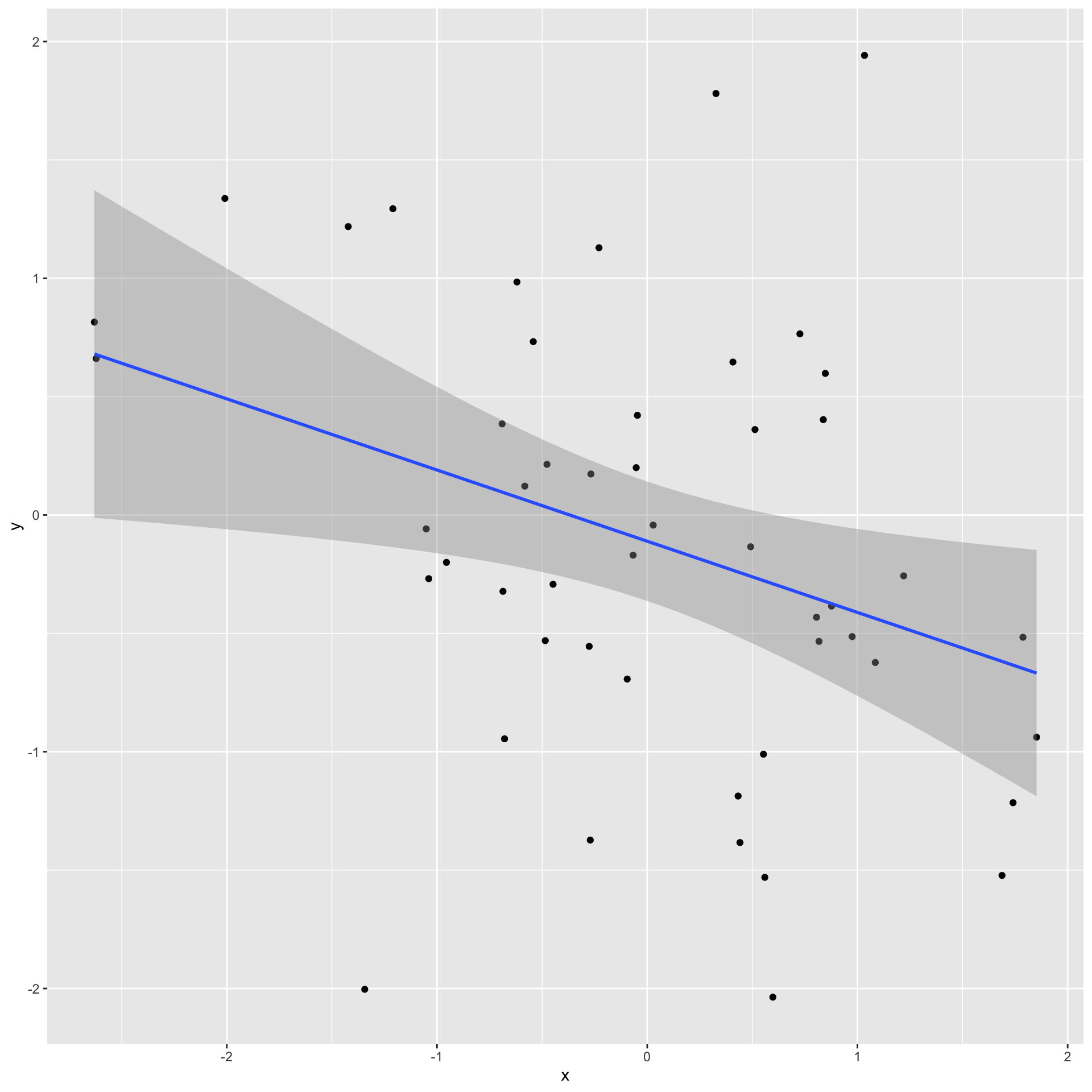
Correlation and \(R^2\)

df |>
summarize(
r = cor(x, y)
)# A tibble: 1 × 1
r
<dbl>
1 -0.659
linear_reg() |>
fit(y ~ x, df) |>
glance() |>
select(r.squared)# A tibble: 1 × 1
r.squared
<dbl>
1 0.434
Correlation and \(R^2\)

df |>
summarize(
r = cor(x, y)
)# A tibble: 1 × 1
r
<dbl>
1 -0.335
linear_reg() |>
fit(y ~ x, df) |>
glance() |>
select(r.squared)# A tibble: 1 × 1
r.squared
<dbl>
1 0.112
Correlation and \(R^2\)

df |>
summarize(
r = cor(x, y)
)# A tibble: 1 × 1
r
<dbl>
1 -0.118
linear_reg() |>
fit(y ~ x, df) |>
glance() |>
select(r.squared)# A tibble: 1 × 1
r.squared
<dbl>
1 0.0140
Correlation and \(R^2\)

df |>
summarize(
r = cor(x, y)
)# A tibble: 1 × 1
r
<dbl>
1 0.117
linear_reg() |>
fit(y ~ x, df) |>
glance() |>
select(r.squared)# A tibble: 1 × 1
r.squared
<dbl>
1 0.0136
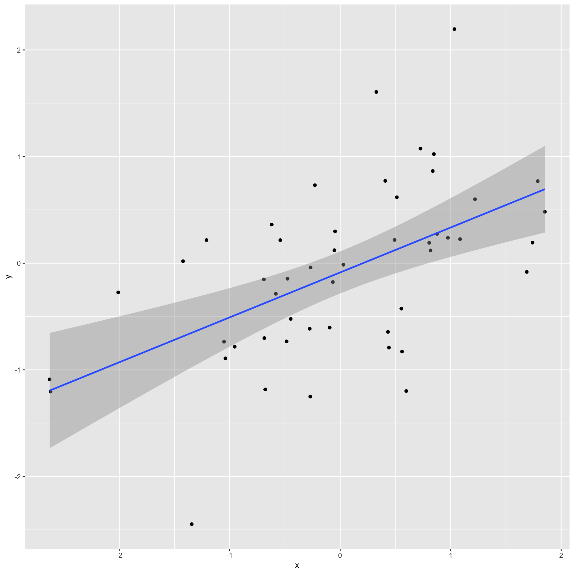
Correlation and \(R^2\)

df |>
summarize(
r = cor(x, y)
)# A tibble: 1 × 1
r
<dbl>
1 0.538
linear_reg() |>
fit(y ~ x, df) |>
glance() |>
select(r.squared)# A tibble: 1 × 1
r.squared
<dbl>
1 0.289
Correlation and \(R^2\)

df |>
summarize(
r = cor(x, y)
)# A tibble: 1 × 1
r
<dbl>
1 0.923
linear_reg() |>
fit(y ~ x, df) |>
glance() |>
select(r.squared)# A tibble: 1 × 1
r.squared
<dbl>
1 0.853
Correlation and \(R^2\)

df |>
summarize(
r = cor(x, y)
)# A tibble: 1 × 1
r
<dbl>
1 1
linear_reg() |>
fit(y ~ x, df) |>
glance() |>
select(r.squared)# A tibble: 1 × 1
r.squared
<dbl>
1 1
Application exercise
ae-16-modeling-penguins
Go to your ae project in RStudio.
If you haven’t yet done so, make sure all of your changes up to this point are committed and pushed, i.e., there’s nothing left in your Git pane.
If you haven’t yet done so, click Pull to get today’s application exercise file: ae-16-modeling-penguins.qmd.
Work through the application exercise in class, and render, commit, and push your edits.


